是否切换到触屏版浏览?
点此切换
品名
简介
全部
热:
插头
4010
3508
折叠桨
Simonk程序
如影
显
200mW
8g
Hi-EC
UBEC
iCharger
模型视频
说明书
文章教程
大疆无人机
FPV/OSD/图传/航拍
多旋翼/穿越机
遥控模型
遥控设备
电子外设
发动机/燃油
工具/配件/其他
无人机、多旋翼、大疆 DJI、云台、电动、油动直升机、直升机配件及辅助设备。
首页
多旋翼/穿越机
多旋翼(2-8旋翼等飞行器)
多旋翼专用马达
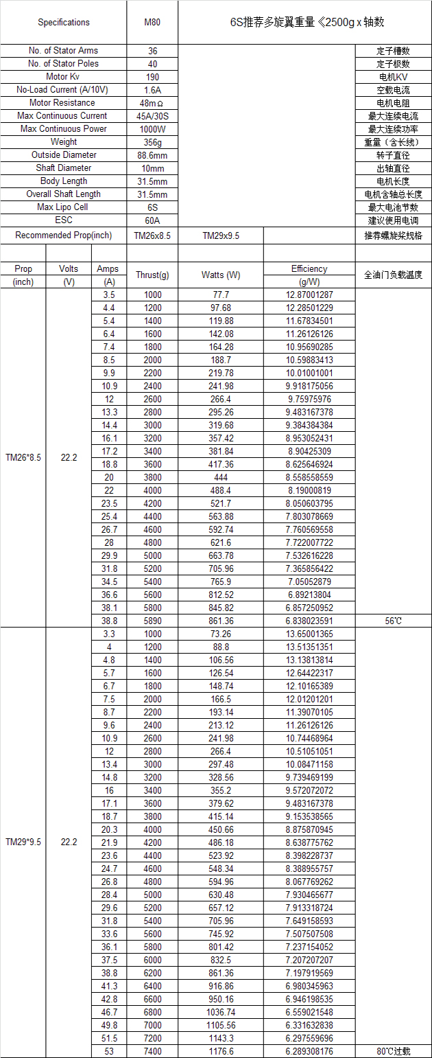
产品编号: M80190
产品品牌:
朗宇
客户评论:
查看评论.
上架日期:
2015-09-16
最后更新:
2016-09-12
可打印页面
添加到收藏夹
关键词:
朗宇sunnysky
M80-190KV
多旋翼用盘式无刷电机
朗宇sunnysky M80-190KV 多旋翼用盘式无刷电机
特 征:
技术参数:
产品名称:
厂家编号:
附 件:
包含:
1 x 电机
1 x 电机配件包
客户评论:
内容描述:
此处评论/问题为客户间交流.
发布为:
评论
问题
推荐星级:
5星
4星
3星
2星
1星